BERUFSSCHULE BS1IN

Home

❯

ER Diagramm Modellieren AEuP

ER-Diagramm Modellieren - AEuP

Jan 15, 20261 min read

BS1IN AEuP Kilsik BW5

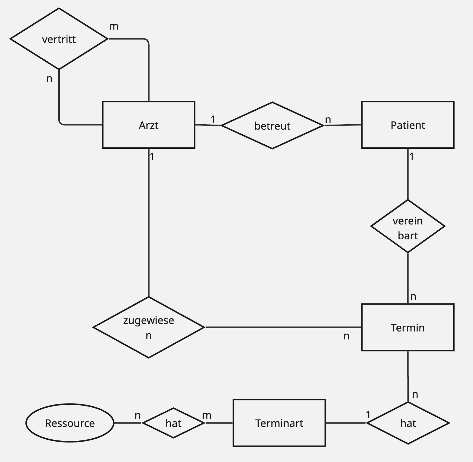
ER-Modell: Gemeinschaftspraxis Terminverwaltung



Graph View

Created with Quartz v4.5.2 © 2026

  • GitHub
  • Discord Community